
Limiti di funzioni Sviluppi in serie di Taylor e McLaurin 1 La
Vediamo come utilizzare gli sviluppi di Taylor per risolvere limiti =)La formula di Taylor con resto di Peano consente di poter risolvere agevolmente limiti.

Limiti con Taylor Guida Pratica IFIF
A volte la formula di Taylor è utile per risolvere i limiti indefiniti. Un esempio pratico Questo limite è una forma indeterminata del tipo ∞-∞. lim x→0( 1 x2 − 1 xsinx) = ∞− ∞ lim x → 0 ( 1 x 2 − 1 x sin x) = ∞ − ∞

Limiti con Taylor Guida Pratica IFIF
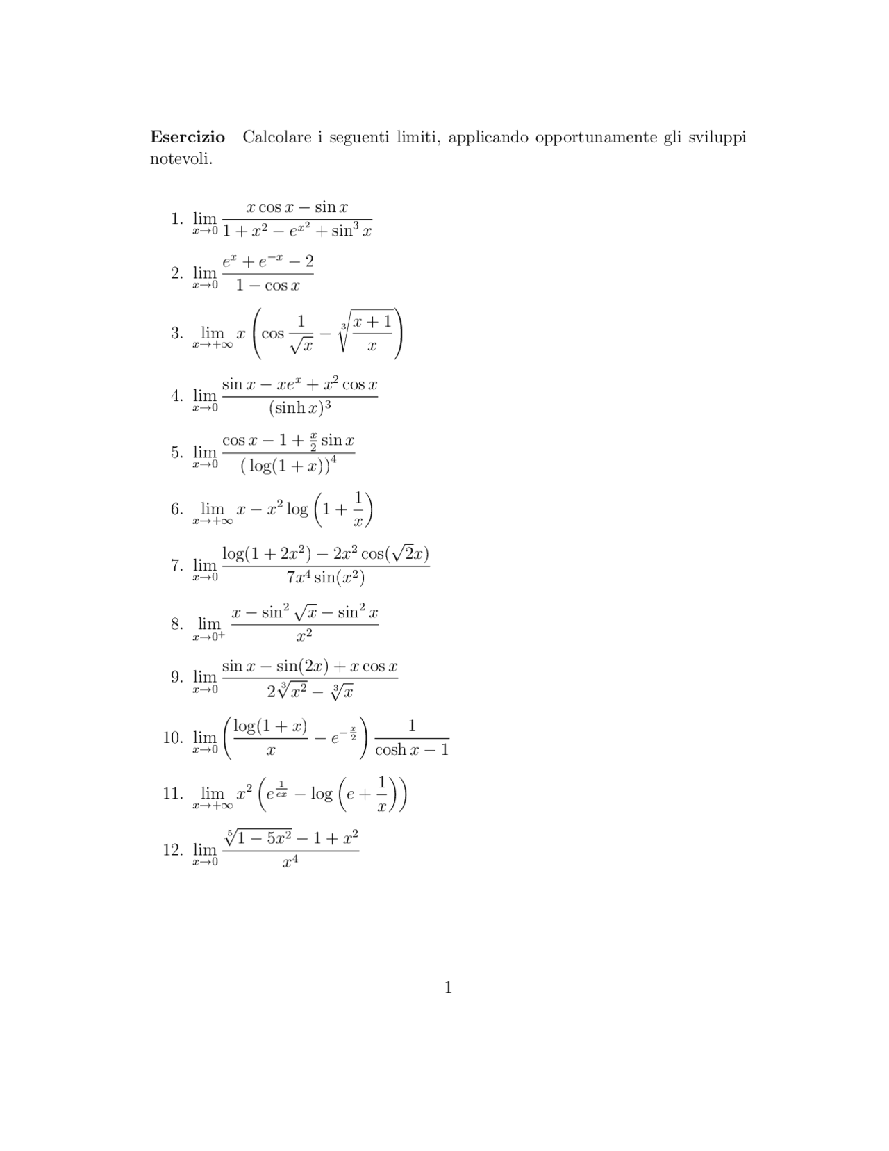
Esercizi - Limiti e sviluppi di Taylor Esercizio 1. Calcolare (se esistono) i seguenti limiti: 2x2 + 3 a) lim x!+1 2x 3x2 + 1 e) lim x!1 x log x 1 p i) lim + 1 4x2 x!e x e x2 + ex b) lim 2x3 x!+1 + 7x c) lim px2 + x x x!+1 d) lim (x2 x + x)e x!+1 Esercizio 2. sin x

Limiti di Funzioni con Taylor [ESERCIZI 1] YouTube
ERRATA: tan (x) = x + x 3 /3 +. Passiamo ai limiti Veniamo ai limiti. Prima di tutto bisogna individuare nel nostro limite da calcolare quali sono le funzioni che possono essere approssimate ad un polinomio. Prediamo ad esempio il limite notevole: Notiamo che l'unica funzione che possiamo sviluppare è cos (x). Ma a quale grado mi devo fermare?

Limiti con Taylor esempi svolti YouTube
Måløv in Ballerup Kommune (Capital Region) with it's 8,513 citizens is a city in Denmark a little north-west of Copenhagen, the country's capital city. Local time in Måløv is now 01:26 PM (Thursday). The local timezone is named Europe / Copenhagen with an UTC offset of one hour. We know of 11 airports in the vicinity of Måløv, of which 5.

Esercizi svolti sulle Formule di Taylor e Maclaurin matematica & oltre
Ciao ragazzi, in questo video impareremo come applicare Taylor ai Limiti di Funzioni! Nel video ho risolto qualche Limite, spero vi sia d'aiuto. =)Successiva.

Limiti Con Taylor Esercizi Svolti loneighton
Per capire come si calcolano i limiti con Taylor è bene aver letto e digerito le seguenti lezioni: - sviluppi di Taylor; - tabella degli sviluppi di Taylor-Mc Laurin; - come calcolare gli sviluppi di Taylor.
Analisi matematica I esercizi sugli sviluppi di Taylor
Limiti con gli sviluppi di Taylor - Matematicamente. Home Esercizi svolti Limiti con gli sviluppi di Taylor.

Limiti con Taylor [DIFFICOLTÀ ELEVATA] 1 YouTube
Esercizi sui limiti con gli sviluppi di Taylor 2 4 − 2 − sen x 2 2 x o x 4 − + = lim ( 3 ) = lim → 0 3 ( e x − cos x ) x → 0 3 1 + 2 + o ( 2! x x 2 2 ) − 1 − + o ( x ) 2! x x 4 x + o x ( 4 ) lim 3 4 1 + ω ( x ) 3 1 = lim = x → 0 x 3 ( x + x 2 o ( x 2 ) ) → 0 4 x ( 1 + x + o ( x ) ) 3

Limiti con Taylor 2 YouTube
ESERCIZI SUI LIMITI 2 CALCOLARE IL VALORE DEI SEGUENTI LIMITI 1) lim x!0 sin(ex 1) x x2 2 x4 2) lim x!1 (x 1)logx (x 1)2 x. ESERCIZIO 1 Consideriamo lo sviluppo di Taylor della funzione esponenziale ex = 1+x+ 1 2! x2 + 1 3! x3 + 1 4!. 1Gli esercizi sono tutti risolti mediante gli sviluppi di Taylor,.

ESERCIZI SUL CALCOLO DI LIMITI CON GLI SVILUPPI DI TAYLOR matematica
A partire da questa pagina potete mettervi alla prova con una selezione di esercizi risolti sui limiti con Taylor-Mc Laurin. Per la teoria, il metodo e tutte le spiegazioni del caso vi rimandiamo alla lezione correlata raggiungibile dal link presente a fondo pagina.

esercizi sui limiti di taylor Esercizio 4 Esercizi sui limiti con gli
ESERCIZI SUL CALCOLO DI LIMITI CON GLI SVILUPPI DI TAYLOR a cura di Michele Scaglia SVILUPPI DI MACLAURIN DELLE PRINCIPALI FUNZIONI Ricordiamo nella tabella che segue gli sviluppi di Taylor per x → 0 delle principali funzio- ni elementari (tali sviluppi vengono anche detti Sviluppi di Maclaurin). x2 x3 x4 x5 xn ex = 1 + x + + + + + · · · +

Esercizi svolti sulle Formule di Taylor e MacLaurin matematica & oltre
Svolgimenti e soluzioni I) Limite con differenza a numeratore e uso di Taylor II) Limite con differenza di infinitesimi dello stesso ordine a numeratore e Taylor III) Limite fratto con Taylor e differenze sia a numeratore che a denominatore IV) Limite con Taylor e funzione mista V) Limite con Taylor e differenza a numeratore

Esercizi limiti Taylor Docsity
Una valanga di esercizi svolti sui limiti, continuità e asintoti di funzioni, con metodi di svolgimento e trucchi utili.

Limiti Con Taylor Esercizi Svolti loneighton
Tiziano Penati 1. Calcolare il seguente limite x2 − tan (x2) lim x→0 x2 − sin (x2) Svolgimento: in questo semplice caso, sviluppiamo le due funzioni trigonometriche sin (t), tan (t) sin (t) tan (t) 1 = t − t3 + o(t3), 6 = t t3 + o(t3), 3 e sostituiamo t = x2 sin (x2) tan (x2) 1 = x2 − x6 + o(x6), 6 = x2 x6 + o(x6), 3 cos ́ı possiamo riscrivere

Limiti con Taylor Guida Pratica IFIF
ESERCIZI SUL CALCOLO DI LIMITI CON GLI SVILUPPI DI TAYLOR a cura di Michele Scaglia SVILUPPI DI MACLAURIN DELLE PRINCIPALI FUNZIONI Ricordiamo nella tabella che segue gli sviluppi di Taylor per x ! 0 delle principali funzio-ni elementari (tali sviluppi vengono anche detti Sviluppi di Maclaurin). ex = 1 + x x2 x3 x4 x5 xn